草铵膦

+86 533 2927 919
产品详情


草铵膦



基本介绍

草铵膦(Glufosinate ammonium),一种广谱触杀型灭生性除草剂,具有杀草谱广、低毒、活性高和环境相容性好等特点。
EINECS登录号:278-636-5
CAS登录号:77182-82-2
分子量:198.16
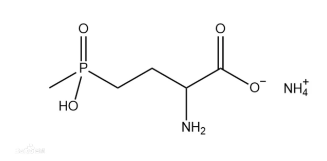
化学式:
C5H15N2O4P

化学名称:4-[羟基(甲基)膦酰基]-DL-高丙氨酸或2-氨基-4-[羟基(甲基)膦酰基]丁酸铵


理化性质


白色结晶,有轻微气味。熔点为210°C,760 mmHg下沸点为519.1°C。易溶于水,22℃时在水中溶解度为1370g/L,在常见的有机溶剂中溶解度较低。





















图片9.png